Werbung

VDI 2078 versus ASHRAE

Wie unterscheiden sich die Berechnungsverfahren?

Bild 1: „Heat balance ­method“ nach dem ASHRAE-Verfahren.

Bild 2: Vollständiges Ersatzschaltbild des Raummodells nach VDI 2078.

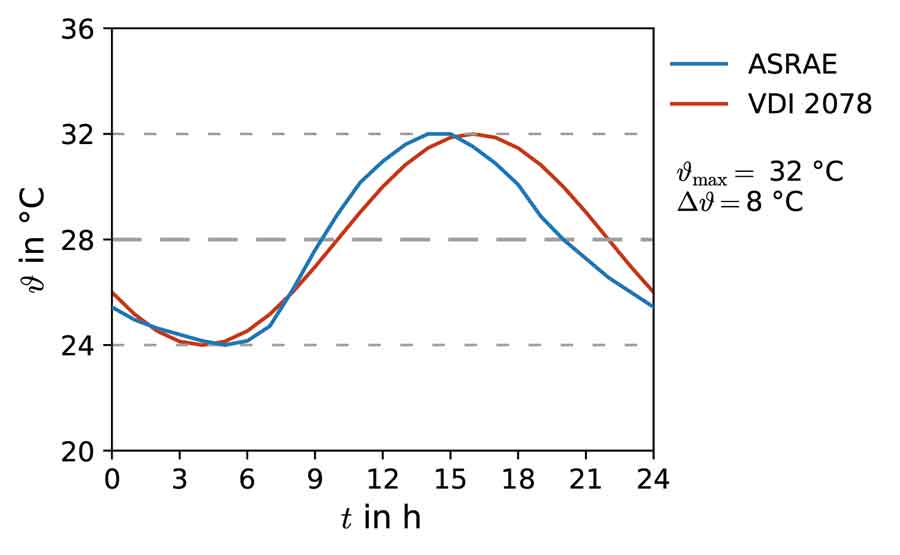
Bild 3: Vergleich der Tagestemperaturen nach ASHRAE und VDI 2078.

Bild 4: Temperaturverlauf und Abfolge der Arbeitstage (AT) und Nichtarbeitstage (NAT) der Auslegungsperiode nach VDI 2078.

Auswahl des Berechnungsverfahrens innerhalb der Software „liNear Building Cooling Dynamic“.

Tabelle 1: Vergleich der maximalen Außentemperatur ϑmax und der Temperaturschwankung Δϑ nach VDI 2078 und ASHRAE für vier deutsche Städte.

 

Die Auslegung von Systemen zur Klimatisierung von Innenräumen und Gebäuden erfolgt auf Grundlage einer Kühllastberechnung. Diese soll einen realistischen Leistungsbedarf der einzelnen Räume ermitteln, um einen wirtschaftlichen Betrieb des Klimatisierungssystems zu gewährleisten. In der Praxis ist die Kühllastberechnung nach dem ASHRAE-Verfahren sowie nach VDI-Richtlinie 2078 anerkannt. Doch wo liegen die Unterschiede und welches Verfahren eignet sich für welchen Fall besser?
Die Anzahl der Einflussgrößen auf die Kühllast ist größer als bei der Heizlastberechnung. Für die Heizlastberechnung ist es ausreichend, die Außentemperatur und die Struktur des Gebäudes mit den Wärmewiderständen anzugeben. Für die Ermittlung der Kühllast müssen zusätzlich die solare Einstrahlung, die inneren Las­ten und die Speicherfähigkeit der Bauteile berücksichtig werden. Um eine realistische Kühllast zu berechnen, sind daher dynamische Berechnungsverfahren Stand der Technik. Denn erst mit dynamischen Verfahren verändern sich die Randbedingungen über die Zeit, sodass die thermische Trägheit und Speicherfähigkeit der Gebäude dargestellt werden können. Sowohl das Berechnungsverfahren nach ASHRAE als auch das nach VDI-Richtlinie 2078 nutzen diesen dynamischen Ansatz. Die hierfür benötigten Eingabedaten sind größtenteils identisch. Prinzipiell lassen sich die Eingabedaten in die Kategorien Struktur, Lage und Nutzung des Gebäudes gliedern.

In die Kategorie Struktur fallen Eingaben wie:

  • die geometrischen Abmessungen der Räume und deren Hüllflächen,
  • der zugehörige Schichtaufbau mit den bauphysikalischen Größen Wärmeleitfähigkeit, spezifische Wärmekapazität und Dichte der verarbeiteten Materialien.


Die Lage des Gebäudes beinhaltet dagegen:

  • die Ausrichtung des Gebäudes in Himmelsrichtung,
  • die geografische Lage (Längen- und Breitengrad) für die Berechnung der solaren Einstrahlung,
  • mögliche Verschattungen aufgrund von herausragenden Gebäudeteilen (Sonnenschutz, Balkone) und von Nebengebäuden,
  • meteorologische Daten für die Randbedingungen.


Zur Kategorie Nutzung des Gebäudes gehören die Eingaben:

  • zeitlicher Verlauf der inneren Lasten (Nutzungsprofile),
  • Anzahl der Personen im Raum,
  • Aktivitätsgrad der Personen,
  • Wärmeleistung von Beleuchtung, Geräten und Maschinen.


Gegenüber dem ASHRAE-Verfahren unterscheidet die VDI 2078 zusätzlich zwischen Arbeitstagen (AT) und Nichtarbeitstagen (NAT). Aus diesem Grund müssen bei der VDI 2078 die Nutzungsprofile der inneren Lasten für beide Arten von Tagen abgestimmt und erstellt werden. Die größtenteils identischen Eingabedaten für die Berechnungsverfahren ermöglichen einen einfachen Wechsel bzw. Vergleich eben dieser, vorausgesetzt, die zugrundeliegende Software unterstützt beide Verfahren. Trotz der gleichen Eingabedaten können die Kühllastberechnungen nach ASHRAE und VDI 2078 unterschiedliche Ergebnisse liefern. Gründe hierfür sind die verschiedenen Ansätze der Modellierung der Wärmeübertragungsprozesse, des Auslegungsverfahrens und die Daten des Auslegungsklimas.

Raum-Modell
Das Verfahren nach ASHRAE modelliert den Raum mit der „Heat balance method“. Die Methode beschreibt die Wärmeübertragungsprozesse im Raum und der Hüllflächen mit der äußeren Umgebung (Bild 1). Das Modell berechnet die Oberflächentemperatur auf beiden Seiten der Hüllfläche aufgrund von Konvektion und Wärmestrahlung. Die Wärmeleitung durch die Hüllfläche wird mit dem aus der Regelungstechnik etablierten Verfahren „conduction transfer function (CTF)“ gelöst.
Im Gegensatz dazu überführt die VDI 2078 die thermischen Prozesse in eine elektrische Ersatzschaltung. Diese wird als 2-Kapazitäten-Modell bezeichnet (Bild 2). Alle Hüllflächen, die keine oder geringe Temperaturunterschiede zu Nachbarräumen aufweisen (adiabate Innenwände1)), werden in einer Kapazität zusammengefasst. Alle Hüllflächen, die definierte rückseitige Temperaturen aufweisen (nicht-adiabate Außenwände2)), werden zu der zweiten Kapazität zusammengefasst. Es stehen sich also zwei Hüllflächen im Rechenkern gegenüber, die im gemittelten Wärme- und Strahlungsaustausch stehen.
Trotz des unterschiedlichen Ansatzes der Raummodellierung liefern beide Verfahren hinreichend gute Ergebnisse, welche in verschiedenen Validierungen nachgewiesen wurden.

Auslegungsverfahren
Der Verlauf der Außentemperaturen eines Tages entspricht bei ASHRAE einem festgelegten Tagesgang, der mit der maximalen Außentemperatur und der Temperaturschwankung an dem Auslegungsort angepasst wird. Die VDI 2078 verwendet zur Modellierung des Temperaturverlaufs eine Sinusfunktion, deren Maximum um 16 Uhr liegt. In Bild 3 werden die Tagesverläufe der beiden Verfahren für einen Tag mit identischen Parametern dargestellt. Der Tagesgang im ASHRAE-Verfahren hat in den Morgenstunden einen stärkeren Anstieg gegenüber der Sinusfunktion und erreicht die maximale Temperatur um 14 Uhr und damit zwei Stunden früher als bei der Berechnung nach VDI. Nicht nur die Tagesverläufe der beiden Verfahren unterscheiden sich, sondern das Auslegungsverfahren an sich. ASHRAE berechnet die Kühllast für den 21. Tag des wärmsten Monats. Die Berechnung des Auslegungstages wird so lange wiederholt, bis das System eingeschwungen ist und sich keine Änderung zum vorherigen Berechnungsdurchlauf ergeben.
Anders nach VDI 2078. Das Verfahren definiert für die Kühllastberechnung eine Auslegungsperiode (CDP), die mit dem Auslegungstag (CDD) endet. Die Auslegungsperiode umfasst 19 Tage und baut sich aus einer vierzehntägigen Vorberechnung, der Anlaufrechnung von vier Tagen und dem Auslegungstag auf. Während der Vorberechnung wird das Außenklima mit der solaren Einstrahlung und der Außentemperatur eines bewölkten Tages simuliert. In der Anlaufrechnung steigen die Mittelwerte und Amplitude der Außentemperatur an und nähern sich den Werten des Auslegungstags. Die Sonneneinstrahlung der Anlaufrechnung und des Auslegungstags entspricht einem sonnigen Tag in der Mitte des Auslegungsmonats. Während der Auslegungsperiode wechseln sich Arbeitstage und Nichtarbeitstage ab, wobei der Auslegungstag ein Arbeitstag sein muss. Zur Verdeut­lichung der Auslegungsperiode ist in Bild 4 der Temperaturverlauf und die Abfolge der Arbeits- und Nichtarbeitstage einer Auslegungsperiode mit fünf Arbeitstagen in der Woche dargestellt. Die Kühllastberechnung endet mit dem Auslegungstag. Es wird also angenommen, dass die Außentemperaturen wieder abnehmen bzw. die Bedeckung zunimmt und die Kühllast somit sinkt. Von der kurzen Hitzeperiode nach der Auslegungsperiode profitieren vor allem schwere Gebäude, für die eine geringere Kühllast berechnet wird, gegenüber einem eingeschwungenen Zustand.

Auslegungsklimadaten

Unabhängig von dem Kühllastverfahren gilt, dass zur Ermittlung einer Kühllast stets ein auf meteorologischen Daten basierendes Modellklima als Randbedingung angesetzt wird. Zur Auslegung wird kein gemitteltes Durchschnittsklima aus vergangenen Jahren, wie z. B. ein Testreferenzjahr (TRY), sondern ein extremes Auslegungsklima mit einer geringen Häufigkeitsüberschreitung verwendet. Die VDI 2078 teilt Deutschland in vier Kühllastzonen auf, deren Einteilung auf einer Clusteranalyse von 250 Wetterstationen aus dem Jahr 1984 beruht. Für jede Kühllastzone werden auf Basis der Wetterdaten von 1991 bis 2005 für jeden Monat von April bis September Tagesmitteltemperaturen und die Amplitude für einen bedeckten und einen sonnigen Tag angegeben. In allen Kühllastzonen werden die maximalen Auslegungstemperaturen im Juli erreicht. Dazu sieht die VDI 2078 eine Korrektur für Großstadtzentren vor. Die Tagesmitteltemperaturen des sonnigen Tags werden durch die Korrektur erhöht und die Amplitude verringert.
Anders bei ASHRAE: Die Klimadaten beziehen sich hier auf jeweils eine Wetterstation und nicht wie bei der VDI auf Regionen. Die Auslegungstemperatur und die Schwankung werden mit Wetterdaten einer Zeitspanne von in der Regel 25 Jahren (mindestens 8 Jahre) ermittelt. Dazu kann der Nutzer zwischen den Häufigkeitsverteilungen 0,4%, 1% und 2% für ein Jahr oder einen Monat (Januar bis Dezember) wählen. Der Prozentsatz der Häufigkeitsverteilung gibt die Anzahl der Stunden im Betrachtungszeitraum an, an dem höhere Temperaturen als die angegebene Temperatur herrschen. Dazu ein Beispiel: In einem Jahr liegen die Temperaturen 34 Stunden höher als bei dem Wert der Häufigkeitsverteilung 0,4 %. Bei der gleichen Häufigkeitsverteilung sind es in einem Monat drei Stunden. Die monatliche Häufigkeitsverteilung des wärmsten Monats wird in Abhängigkeit vom Standort in der Regel über die Temperatur des Jahreswertes liegen. Die Temperaturschwankung des Auslegungstags ist unabhängig von der Häufigkeitsverteilung und wird für jeden Monat angegeben.
Insgesamt sind im „ASHRAE-Handbook of Fundamentals“ über 6000 Datensätze zur Kühllastberechnung für Standorte in der ganzen Welt enthalten, davon auch über 120 Standortdaten aus Deutschland.
In Tabelle 1 werden die maximalen Auslegungstemperaturen und die Temperaturschwankungen am Tag für vier Städte in Deutschland nach VDI 2078 und nach ASHRAE dargestellt. Der Vergleich der beiden Verfahren zeigt, dass die Auslegungstemperaturen nach VDI 2078 um 3°C höher liegen als die Jahreswerte der Häufigkeitsverteilung von 0,4% nach ASHRAE. Die Temperaturschwankungen sind hier außerdem größer als bei der Berechnung nach VDI. Welche Einflussgrößen die unterschiedlichen Auslegungsdaten auf die berechnete Kühllast haben, kann aus theoretischen Überlegungen nur schwer abgeschätzt werden. Die Kühllast hängt von der Gebäudestruktur des jeweiligen Projekts ab (schweres oder leichtes Gebäude) und die Auslegungsverfahren unterscheiden sich deutlich. Dabei ist zu beachten, dass ASHRAE die Kühllast für einen eingeschwungenen Zustand berechnet. Bei der Auslegungsperiode nach VDI 2078 können hingegen die höheren Außentemperaturen noch nicht durch die Wand durchgedrungen sein und die Kühllast somit nur teilweise beeinflussen.

Fazit
Beide Kühllastberechnungsverfahren haben ihre Berechtigung und werden in der Praxis eingesetzt. Aus den dargestellten Unterschieden der Verfahren ergibt sich für bestimmte Bedingungen eine bevorzugte Wahl eines Verfahrens. So beruht die Modellierung der Wärmeübertragungsprozesse von ASHRAE auf den physikalischen Prozessen und eignet sich besser für Spezialfälle. Aufgrund des Zusammenfassens von Hüllflächen in Kapazitäten für Innen- und Außenwände sollten bei der VDI 2078 Situationen vermieden werden, bei denen alle Hüllflächen in eine Kapazität zusammengefasst werden. In so einem Fall wird der Strahlungsaustausch zwischen den Flächen unterbunden. Beispiele hierfür sind Innenräume ohne Fenster oder eine Vorstands­etage auf dem Dach eines Gebäudes, die aus
einem Raum besteht. Sobald der Standort des Gebäudes außerhalb von Deutschland liegt, kann nur das Verfahren nach ASHRAE angewendet werden. Die mit VDI 2078 gelieferten Klimadaten sind ausschließlich für Deutschland. Durch die Unterscheidung zwischen Arbeits- und Nichtarbeitstagen bietet die Auslegungsperiode den Vorteil, eine realistischere Kühllast für Gebäude zu berechnen, die nur wenige Arbeitstage (AT < 4) in der Woche genutzt werden, da in diesem Fall beim Wechsel von NAT zu AT die thermische Speicherfähigkeit des Gebäudes mehr zum Tragen kommt.
Die Wahl für ein Verfahren sollte in Abstimmung mit dem Bauherrn getroffen und schriftlich vereinbart werden. Hierfür sollten dem Bauherrn die Unterschiede zwischen den Verfahren erläutert und auf die Auswirkungen hingewiesen werden. Grundsätzlich gilt bei den dynamischen Kühllastberechnungen, dass eine hohe Sorgfalt des Anwenders bei der Eingabe der Annahmen erforderlich ist. Wenn die Annahmen oder die Eingabe nicht den späteren tatsächlichen Bedingungen entsprechen, sind die Abweichungen der Kühllast viel größer als aufgrund der Wahl des Berechnungsverfahrens.

Bilder: liNear
www.linear.eu


1) VDI 6007-1: Flächen ohne Temperaturunterschied ­werden als „Innenwand“ bezeichnet.
2) VDI 6007-1: Flächen mit rückseitig definierter Temperatur werden als „Außenwand“ bezeichnet.


„liNear Building Cooling Dynamic“ zur Berechnung nach beiden Verfahren
Das Kühllast-Berechnungsmodul „liNear Building Cooling Dynamic“ der liNear GmbH bietet dem Nutzer die Möglichkeit, zwischen den Verfahren nach ASHRAE und nach VDI 2078 auszuwählen. Das Programm führt dazu Schritt für Schritt durch die Eingabemasken. Für die automatische Übernahme der Gebäudedaten greift das Modul auf die CAD-Anwendungen „Autodesk Revit“, „AutoCAD“ oder ­„liNear CADinside“ zu. Zudem ermöglicht die Software im Eingabeprozess den Wechsel des Verfahrens, sodass die Ergebnisse miteinander verglichen werden können.
Weitere Informationen zur Anwendung bietet ein aufgezeichnetes Webinar unter www.linear.eu/webinare, das die Berechnung einer dynamischen Kühllast zeigt.

 


Artikel teilen:
Weitere Tags zu diesem Thema: