IKZ-HAUSTECHNIK, Ausgabe 20/2000, Seite 43 ff.
HEIZUNGSTECHNIK
Fachbegriffe in der Heizungstechnik
Klaus Brenndörfer*
Fachbegriffe und deren exakte Bedeutung bzw. Definition sind meistens nur eingeweihten Fachleuten geläufig. Ständig werden Normen geändert oder es kommen neue hinzu. Viele Menschen kommen mit den neuen Wörtern in Berührung und wenden sie im Berufsleben auch richtig an, ohne jedoch deren genaue Interpretation zu kennen. Dieser Artikel soll dazu beitragen, den Leser über die wichtigsten Fachbegriffe in der Heizungstechnik zu informieren.
Standardheizkessel
Bis in die 60er-Jahre dieses Jahrhunderts wurden die Heizkessel mit Handsteuerungen betrieben, die konstante Vorlauftemperaturen zwischen 70 und 90°C einregelten. Die Abgastemperaturen lagen zwischen 230 und 300°C. Ausschlaggebend für diese relativ hohen Abgas- und Vorlauftemperaturen war die Betriebssicherheit und Widerstandsfähigkeit gegen Korrosion zu gewährleisten. Insbesondere war nicht geklärt, ob die Heizkessel mit den damals verwendeten Werkstoffen bei niedrigeren Vorlauftemperaturen mit Unterschreitung der Taupunkttemperatur betrieben werden konnten.
Heizkessel dieser Bauart werden als Standardheizkessel bezeichnet, wobei die Bezeichnung "Standardheizkessel" nicht in Normungen verankert ist. Lediglich in der Richtlinie 92/42/EWG des Rates wird ein kurzer Hinweis zu Standardheizkesseln gegeben, der lautet: "Ein Standardheizkessel ist ein Heizkessel, bei dem die durchschnittliche Betriebstemperatur durch seine Auslegung beschränkt sein kann."
Niedertemperatur-Kessel
Als nun die Energiekrise Heizöl und Erdgas teurer werden ließ, sind Überlegungen angestellt worden, wie man die Heizkessel verbessern und damit sparsamer betreiben kann. In der heute nicht mehr gültigen DIN 4702 (ersetzt durch EN 303) wurden Niedertemperatur-Kessel wie folgt definiert: "Niedertemperatur-Kessel (NT-Kessel) sind Heizkessel, in denen die Temperatur des Wärmeträgers durch selbsttätig wirkende Einrichtungen gleitend bis auf 40°C oder tiefer abgesenkt werden kann bzw. Kessel, die auf nicht mehr als 55°C eingestellt sind." Darüber hinaus müssen NT-Kessel entsprechend der Regelungseinrichtung für die Feuerung ohne festgelegte "untere Temperatur" (untere Kesselvorlauftemperaturbegrenzung) gleitend bis zur Umgebungstemperatur betrieben werden können. Während der Betriebsunterbrechung (Nachtabsenkung) müssen die Kessel abschalten. Die Kesseltemperaturregler sind im Niedertemperaturbetrieb auf max. 75°C einzustellen. Neben diesen grundlegenden Forderungen sind noch weitere Festlegungen als Ausnahmen unter gewissen Voraussetzungen zulässig, die aber für die Begriffsbestimmung des Wortes "Niedertemperatur-Kessel" nicht relevant sind.
In der heutigen Definition der Richtlinie 92/42 des Rates wird ein Niedertemperaturkessel folgendermaßen definiert: "Ein Niedertemperatur-Heizkessel ist ein Heizkessel, der kontinuierlich mit einer Eintrittstemperatur (Rücklauftemperatur) von 35 - 40°C funktionieren kann und in dem es unter bestimmten Umständen zur Kondensation kommen kann; hierunter fallen auch Brennwertkessel für flüssige Brennstoffe."
| Bild 1: Gas-Brennwertkessel mit integriertem Warmwasserbereiter. |
Brennwertkessel
Brennwertkessel sind Heizkessel, in denen die im Abgas enthaltene latente Wärme in Form von Wasserdampf durch Kondensation nutzbar gemacht wird (Bild 1). Um diese sehr einfache Formulierung zu verstehen, wird jedoch vorausgesetzt, dass der Begriff "latente Wärmeenergie" bekannt ist. Da aber nicht generell davon ausgegangen werden kann, wird der Begriff anschließend definiert.
Latente Wärmeenergie
Bei jeder Verbrennung von fossilen Brennstoffen (Erdgas, Heizöl, Kohle, Holz,...) entsteht Wasser (H2O) in Form von Wasserdampf, da fossile Brennstoffe Kohlenwasserstoffverbindungen (CH-Verbindungen) sind. Der Wasserstoff H reagiert bei der Verbrennung mit dem Sauerstoff O zu Wasserdampf H2O. Wird ein Medium vom flüssigen Aggregatzustand in den gasförmigen umgewandelt, so muss Energie zugeführt werden. Die zugeführte Energie wird als Verdampfungsenthalpie bezeichnet. Kühlt sich dieses Gas (Dampf) unter seine Taupunkttemperatur ab, so findet eine Aggregatszustandsänderung vom gasförmigen zum flüssigen Zustand statt. Dabei wird dieselbe Energiemenge frei, die für die Verdampfung notwendig war. Jetzt wird diese Energiemenge als Kondensationswärme bezeichnet. Die Wärmeenergie, die im Wasserdampf steckt, wird auch als latente (lat. verborgene) Wärmeenergie bezeichnet.
| Bild 2: Niedertemperatur-Gasheizkessel |
Heizwert = Heizwert Hi (kWh)
Der Heizwert eines Gases oder einer Flüssigkeit ist die Wärme, die bei vollständiger Verbrennung von 1 m3 Gas oder 1 kg Heizöl im Normzustand frei wird, wenn die Anfangs- und Endprodukte eine Umgebungstemperatur von 15°C haben und das bei der Verbrennung entstandene Wasser im dampfförmigen Zustand vorliegt. Hier wird die latente Wärmeenergie nicht genutzt.
Unter dem Heizwert Hi ("i" kommt aus dem englischen inferior = unterer) versteht man diejenige Wärmeenergie, die bei der Verbrennung frei wird, ohne Ausnutzung der Kondensationswärme des Wasserdampfes (Bild 2).
Brennwert = Heizwert Hs (kWh)
Der Brennwert eines Gases oder einer Flüssigkeit ist die Wärme, die bei vollständiger Verbrennung von 1m³ Gas oder 1 kg Heizöl im Normzustand frei wird, wenn die Anfangs- und Endprodukte eine Umgebungstemperatur von 15°C haben und das bei der Verbrennung entstandene Wasser im flüssigen Zustand vorliegt. Hier kann die latente Wärmeenergie ausgenutzt werden, da bei der Änderung des Aggregatzustandes von "Dampf" zu "Flüssigkeit" die Kondensationswärme frei wird.
Unter dem Heizwert Hs ("s" kommt aus dem englischen superior = oberer) versteht man diejenige Wärmeenergie, die bei der Verbrennung mit Ausnutzung der Kondensationswärme des Wasserdampfes frei wird. Das ist physikalisch die tatsächliche Energiemenge, die max. im Verbrennungsmedium enthalten ist (Bild 3).
| Bild 3: Gas-Brennwerttherme |
Nennwärmeleistung 
Unter der Nennwärmeleistung
eines Heizkessels versteht man diejenige max. zulässige Heizleistung, die an das hydraulische System (Kesselwasser) abgegeben wird.
Nennwärmebelastung 
Unter der Nennwärmebelastung
eines Heizkessels versteht man diejenige Heizleistung, bezogen auf den Heizwert Hi, die feuerungstechnisch dem Heizkessel zugeführt wird (Feuerungswärmeleistung).
Abgastemperatur tA (°C)
Die Abgastemperatur tA (°C) ist die Temperatur, die in unmittelbarer Nähe nach dem Rauchrohrabgang des Heizkessels gemessen wird. Sie ist abhängig von der Kesselwassertemperatur, dem Verschmutzungsgrad des Heizkessels und von der Kesselbelastung. Für die Dimensionierung des Schornsteins und zur Bestimmung des Abgasverlustes wird jene Abgastemperatur benötigt, die sich im Beharrungszustand bei mindestens 60°C Kesselwassertemperatur einstellt. Der Beharrungszustand eines Heizkessels ist dann erreicht, wenn die Kesselanlage die Kesselwassertemperatur angenommen hat und die Spreizung zwischen Vor- und Rücklauftemperatur konstant bleibt.
Abgasverlust qA (%)
Unter dem Abgasverlust qA (%) versteht man denjenigen Wärmestrom, bezogen auf die Kesselleistung, der beim Verbrennungsprozess ungenutzt über den Schornstein entweicht. Die Berechnung ist der Bundesimmissionsschutzverordnung in gültiger Fassung zu entnehmen.
Feuerungstechnischer Wirkungsgrad hF (%)
Der feuerungstechnische Wirkungsgrad hF (%) ergibt sich aus der zugeführten Wärmeenergie bezogen auf den unteren Heizwert (Hi = 100%) minus dem Abgasverlust qA.
hF = 100 (%) - qA (%)
Kesselwirkungsgrad hK (%)
Der Kesselwirkungsgrad hK (%) wird als Verhältnis der Nennwärmeleistung zu der dem Heizkessel zugeführten Wärmeleistung (Nennwärmebelastung) definiert. Er wird grundsätzlich bei Nennwärmeleistung im Beharrungszustand gemessen. Dabei muss eine wasserseitige Übertemperatur von mehr als 50 K eingehalten werden. Ist dies aus betrieblichen Gründen nicht möglich (Niedertemperaturheizkessel), so ist die Prüfung nach DIN 4702 Teil 1 bzw. EN 303 mit einer Übertemperatur von mindestens 30 K und einer Spreizung zwischen Vor- und Rücklauf von (10 ± 2) K durchzuführen. Wenn als Ausgangsbasis der untere Heizwert Hi für die Berechnung angesetzt wird, ergeben sich Gesamtwirkungsgrade < 100 %. Wenn als Ausgangsbasis der obere Heizwert Hs für die Berechnung angesetzt wird, ergeben sich Gesamtwirkungsgrade > 100%.
Bereitschaftsverlust qB (%)
Der relative Bereitschaftsverlust qB (%) eines Heizkessels ist der Anteil der Feuerungswärmeleistung, der durch Strahlung und Konvektion an die Umgebung des Heizkessels abgegeben wird. Dabei spielt es keine Rolle, wann diese "Verlustenergie" abgegeben wird - im Stillstand oder während der Verbrennung. Da diese "Verlustenergie" durch die eingestellte Feuerungsleistung dividiert wird, heißt sie relativer Bereitschaftsverlust. Nach DIN 4702 Teil 1 (Heizkessel, Begriffe, Anforderungen, Prüfung und Kennzeichnung) bzw. EN 303 wird der relative Bereitschaftswärmeverlust bei einer mittleren Übertemperatur des Heizkessels von 55 K bestimmt. Dabei muss während der Stillstandszeit des Heizkessels ein gleichbleibender Unterdruck am Rauchrohrabgang von - 0,05 mbar vorhanden sein und es darf keine Nutzwärme abgegeben werden.
Durch die guten Wärmedämmungen moderner Niedertemperaturheizkessel liegen die relativen Bereitschaftsverluste in einer Größenordnung von unter 1% (Bild 4).
| Bild 4: Gas-Brennwertkessel |
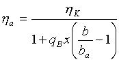
Jahresnutzungsgrad ha (%)
Der Jahresnutzungsgrad ha (%) dient als Berechnungsgrundlage zur Beurteilung der Wirtschaftlichkeit des Wärmeerzeugers. Er wird nach VDI 2067 mit folgender Gleichung berechnet:

ha = Jahresnutzungsgrad [%]
hK = Kesselwirkungsgrad [%]
qB = relativer Bereitschaftswärmeverlust [%]
b = Einschaltdauer der Heizungsanlage [h/a]
ba = tatsächliche Brennerlaufzeit [h/a]
Wie aus der Formel zu erkennen, sind lediglich der Kesselwirkungsgrad und der relative Bereitschaftswärmeaufwand produktabhängig. Die Einschaltdauer der Heizungsanlage und die tatsächlichen Brennerlaufzeiten spielen aber am Gesamtergebnis eine ebenso entscheidende Rolle. Je länger die Brennerlaufzeiten im Verhältnis zur Gesamteinschaltdauer sind, desto höher der Jahresnutzungsgrad.
Wird also ein Heizkessel sehr überdimensioniert eingebaut, sinken die Brennerlaufzeiten und damit der Jahresnutzungsgrad. Als Quintessenz kann festgehalten werden: Je höher der Jahresnutzungsgrad eines Systems ist, desto besser die Auslastung.
Aber eine Beurteilung über die Qualität des Heizkessels im vergleichenden Wettbewerb daraus abzuleiten ist falsch. Begründung: Der Kesselwirkungsgrad wird bei Nennleistung, das ist die maximal zulässige Kesselleistung nach Herstellerangabe und höchster Vorlauftemperatur, gemessen. Auch wenn die Nennleistung zufällig mit dem nach DIN 4701 ermittelten Wärmebedarf übereinstimmt, sind die Laufzeiten mit diesen hohen Vorlauftemperaturen (extremster Winter laut Klimazone) nur sehr gering. Vielmehr arbeitet der Heizkessel überwiegend im Teillastbetrieb mit Vorlauftemperaturen um ca. 50°C. Unter diesen Bedingungen können die Messergebnisse ganz anders sein. Darüber hinaus spielen auch die persönlichen Lebensgewohnheiten (Einschaltdauer der Heizungsanlage) bei der Berechnung eine gewichtige Rolle.
Normnutzungsgrad hN (%)
In einer Heizperiode arbeitet ein Kessel überwiegend in Teillast. Weil auf Grund der Normgebung der Kesselwirkungsgrad statisch bei größter zulässiger Leistung (Nennleistung) und höchster Vorlauftemperatur gemessen wird, ist dieser Wert als Vergleichsgröße nicht objektiv. Eine weitaus bessere Vergleichskennzahl ist der Normnutzungsgrad. Um diesen zu bestimmen, wird auf dem Prüfstand eine gesamte Heizperiode simuliert. Basierend auf den mittleren Tagesaußentemperaturen des meteorologischen Wetterdienstes in Deutschland, aufgetragen über der Anzahl der Heiztage, wurden fünf Teillastbetriebspunkte festgelegt. Dabei ist jedem Teillastbetriebspunkt prozentual eine Kesselleistung zugeordnet (12,8%, 30,3%, 38,8%, 47,6% und 62,6%), bei der jeweils ein Teillastnutzungsgrad gemessen wird (Bild 5). Aus diesen fünf Einzelnutzungsgraden wird dann der Normnutzungsgrad berechnet. Die wasserseitige Spreizung der Vor- und Rücklauftemperatur als Ausgangsbasis der Messung muss mit angegeben werden. Bei Niedertemperaturkesseln z.B. 75/60°C und bei Brennwertkesseln z.B. 40/30°C.
Der aus den Messergebnissen berechnete Normnutzungsgrad ist somit als Vergleichskennzahl weitaus objektiver und eignet sich besser als der Kesselwirkungsgrad oder der Jahresnutzungsgrad. Zusammenfassend kann man sagen, dass der Normnutzungsgrad ein auf dem Kesselprüfstand ermittelter Kessel-Jahreswirkungsgrad ist, der prozentual angibt, wie viel der zugeführten Wärmeenergie nutzbar auf die Heizungsanlage übertragen wird.
| Bild 5: Fünf Teillastgrößen werden herangezogen, um den Normnutzungsgrad eines Kessels zu bestimmen. |
Heizgasseitiger Widerstand (Pa)
Der heizgasseitige Widerstand ist die Druckdifferenz zwischen der Abgasmessstrecke und dem Feuerungsraum bei Öl-/Gaskesseln.
Wasserseitiger Widerstand (hPa)
Der wasserseitige Widerstand ist die Druckdifferenz zwischen Rücklauf- und Vorlaufanschluss des Heizkessels unter festgelegten Bedingungen.
Zusammenfassung
Die aufgeführten Fachbegriffe und deren Erklärung sind nur ein kleiner Auszug aus der Heizungstechnik. Sicherlich wird die geneigte Leserin und auch der geneigte Leser dieses Artikels das eine oder andere Fachwort vermissen. Dies ist keinesfalls beabsichtigt, denn bei der Auswahl lag das Augenmerk auf den am häufigsten vorkommenden Begriffen.
* B i l d e r : Wolf GmbH, Mainburg
* Klaus Brenndörfer, Leiter Technische Verkaufsunterlagen bei Wolf GmbH, Mainburg
[Zurück] [Übersicht] [www.ikz.de]




